Oxandrolon (znany jako Oxa lub Anavar) jest uważany za jeden z łagodniejszych sterydów anabolicznych, ale nawet on może powodować skutki uboczne, zwłaszcza przy wyższych dawkach lub długotrwałym stosowaniu. Chociaż działa łagodniej na organizm niż inne sterydy, skutki uboczne mogą wystąpić.
Omawiany środek to Oxa (Anavar), czyli oksandrolon, znany jako jeden z łagodniejszych sterydów anabolicznych. Oksandrolon ma szerokie zastosowanie medyczne, ponieważ jest skuteczny w leczeniu różnych schorzeń, ale jednocześnie wykazuje stosunkowo niskie ryzyko wystąpienia skutków ubocznych w porównaniu z innymi sterydami anabolicznymi.
Dawki terapeutyczne oksandrolone
- Dla dorosłych dawki lecznicze wynoszą od 2,5 mg do 20 mg dziennie, w zależności od wskazań medycznych i tolerancji pacjenta. Te dawki są stosowane na przykład w celu wspomagania regeneracji po ciężkich urazach, w rekonwalescencji po chorobach wyniszczających lub w leczeniu przewlekłej utraty masy ciała.
- U dzieci stosuje się dawkę wynoszącą 0,1 mg na kilogram masy ciała dziennie. Dziecko ważące 30 kg może więc otrzymać około 3 mg oksandrolonu dziennie, ponieważ taka dawka zapewnia skuteczność terapeutyczną przy minimalnym ryzyku wystąpienia działań niepożądanych.
Oxandrolone skutki uboczne – skąd się wzięła legenda?
Badanie 1 – prawie 5 lat na oxandrolone dzieci
Wedle wytycznych medycznych istnieje możliwość wielomiesięcznej kuracji anavarem.
https://www.ncbi.nlm.nih.gov/pubmed/23076845
W badaniu wzięło udział 133 dziewczynki między 8 a 12 rokiem życie leczone na zespół Turnera za pomocą GH i oxandrolonu.
Po dawano oxe w dawkach 0.03 mg/kg lub 0,06 mg/kg na dzień.
Dla 50kg dziewczynki to odpowiednio 1.5mg lub 3mg oxy dziennie.
Długość kuracji: 4,9 roku!
Efekt?
Grupa oxy zyskałam 0.03 mg/kg zyskała wzrost 10.2±4.9 cm,
natomiast grupa 0.06 mg/kg zyskała 9.7±4.4 cm.
Grupa placebo: 8.0±4.6 cm
Wniosek: podawanie oxy znacząco wpływa na zyskany wzrost u dziewczynek z zespołem Turnera . Badacze we wnioskach dopisali, że dawka jest efektywna i bezpieczna, ale powodowała też obniżenie głosu.
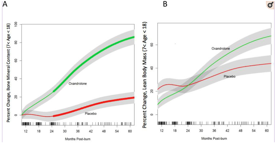
Badanie 2 – 12 miesięcy na oxandrolone poparzonych dzieci , efekty 4 lata po terapii
https://www.ncbi.nlm.nih.gov/pubmed/22463890
Oxe podawano przez rok pacjentom między 0 – 18 rokiem życie (najmłodsi to niemowlaki) z poparzeniami ponad 30% ciała. Dawka 0,1mg/kg dwa razy dziennie czyli dziecko 50 kg dostawało 2x 5mg =10mg dziennie oxandrolonu. Ilość pacjentów 70, a w grupa placebo 152 osoby. Pacjenci przez 12 tyg poddani byli programowi ćwiczeń.
Efekt?
Grupa leczoną anavarem zmniejszyła REE (spoczynkowe tempo przemiany materii), ciśnienie krwi, zwiększyła IGF-1, znacząco zwiększyła masę mięśniową i siłę. Zauważono także zwiększenie ilości składników mineralnych kości. Nie zaobserwowano skutków ubocznych po rocznej kuracji. Zalety kuracji utrzymywały się do 4 latach po zakończeniu.

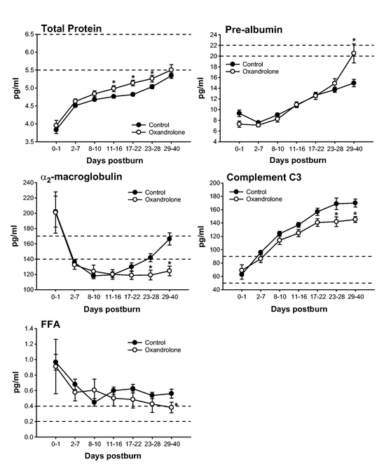
Badanie 3 – tydzień na oxandrolone i szybszy powrót do zdrowia po oparzeniach
Oxandrolone skutki uboczne.
235 poparzonych dzieci podzielone na grupę oxy (45) i placebo (190).
W grupie oxy przed 7 dni podawano 0,1mg /kg masy ciała dwa razy dziennie. Czyli dziecko 50kg dostawało dawkę 5mg x 2 =10 mg dziennie.
Efekt?
Długość rekonwalescencji w grupie oxy znacząco zmalała w stosunku do grupy palcebo.
Grupa placebo straciła LBM 8+-1% , natomiast grupa oxy zyskała 9+/-4% LBM (masy beztłuszczowej ) ! Poprawiły sie tej inne parametry > wykresy poniżej.
Niestety

Niestety wzrosły próby wątrobowe. Oxandrolone skutki uboczne.
Nie są to duże zmiany, jednak pojawiły się już po 7 dniach i to na małej dawce oxy (znacznie niższej niż stosowana w sporcie) . Próby wątrobowe były podwyższone ponad miesiąc.
Moim zdaniem na wynik AST ALT miały też wpływ inne leki podawane pacjentom , np. antybiotyki. Nie sądzę by dzieci z poparzeniami były leczony wyłącznie oxą. Na logikę dostawały też inne medykamenty. Jak wiadomo mocne leki wpływają na wątrobowe negatywnie. Zatem pogorszony wynik moim zdaniem nie był tylko spowodowany oxą. W badaniu nie ma informacji o pozostałych lekach stosowanych w kuracji.

Badanie 4 – wzrost biodostępności oxandrolone po kofeinie
Badanie wykonane na 1 pacjencie – stąd jego mała wartość. Moje zastrzeżenie co do badania: mała grupa badawcza.
http://www.adop.pt/media/4114/Oxandrolone_excretion_effect_of_caffeine_dosing_.pdf
Próba 1: Podano 0,4mg oxy pacjentom którzy pili 3 expresso dziennie (64mg kofeiny)
Pobrano mocz i przez 40h obserwowano ilość oxy.
Próba 2: Pomiar wykonano 4 dni później , podano znów 0,4mg oxy oraz 300mg kofeiny w tabletce . Mierzono z moczu przez 40h ilość oxy i kofeiny.
Wyniki
próba 1

próba 2

Wyniki: w pierwszych godzinach wzrost oxy [puste kwadraty] w próbie 1 to 10ng/min natomiast w próbie 2 aż 150 ng/min!
Wzrost Epioxandrolone w próbie 1 to 10ng/min a drugiej 200ng/min.
Wnioski: 15-20 krotny wzrost biodostępności oxandrolonu po podaniu dodatkowo 300 mg kofeiny! Mega ciekawe, bo może prowadzić do wniosków, że podobny efekt stosowania oxy można uzyskać na znacznie mniejszych dawkach. Skoro jest to jeden z najdroższych sterydów to w ramach oszczędności może warto zapić go mocną kawą ?
Badanie ciekawe jednak wymaga powtórzenia na większej grupie oraz zbadania faktycznego wpływu dodatku kofeiny [do oxy] na efekty anaboliczne, siłowe – czyli to co nas sportowców interesuje najbardziej.
Oxandrolone skutki uboczne – w praktyce
Kochany i szukany przez kobiety, oksandrolon (Anavar) jest niezwykle popularny, ponieważ daje widoczne efekty przy minimalnych skutkach ubocznych. Kobiety często wybierają go, bo jest bezpieczny przy dawkach 5–10 mg dziennie. Pomaga poprawić definicję mięśni, spalić tłuszcz i zwiększyć siłę, co pokazuje, dlaczego stał się tak ceniony w świecie fitnessu.
Przez mężczyzn mniej używany, ale też stosowany. Przez panów jest zbyt niedoceniany.
Ciekawe badanie na temat oksandrolonu:
Badania wskazują, że oksandrolon wpływa na regenerację, utratę tkanki tłuszczowej, ale również ma zachowanie masy mięśniowej. To szczególnie ważne, ponieważ efekty tego środka są doceniane zarówno w terapii, jak i w sporcie. Chociaż większość nie przeczyta tych badań w całości, warto wiedzieć, że potwierdzają one jego skuteczność.
http://pbc.gda.pl/Content/33570/doktorat%20MAGNUSZEWSKA%20Hanna.pdf
„Korzyści ze stosowania rGH u pacjentek z rozpoznaniem zespołu Turnera „
Wzmianki o połączenie oxy + rGH w terapii
————————————————————————————————————

TRENING, DIETA, PROWADZENIE ONLINE, WSPÓŁPRACA DIETETYCZNO TRENINGOWA, SUPLEMENTACJA – SZCZEGÓŁY TUTAJ 🙂
Autorka: KobietaNaBombie
pytania: kobietanabombie@gmail.com
IG: kobietanabombie – więcej wiedzy i ciekawostek!